根据《江苏省事业单位公开招聘人员办法》(苏办发〔2020〕9号)精神,为更好地选拔优秀适岗人才,优化事业单位人员结构,中共盐城市委组织部、盐城市人力资源和社会保障局决定为全市事业单位管理类岗位、通用类专业技术岗位和工勤技能类岗位的公开招聘搭建平台,提供服务。现将有关事项公告如下:
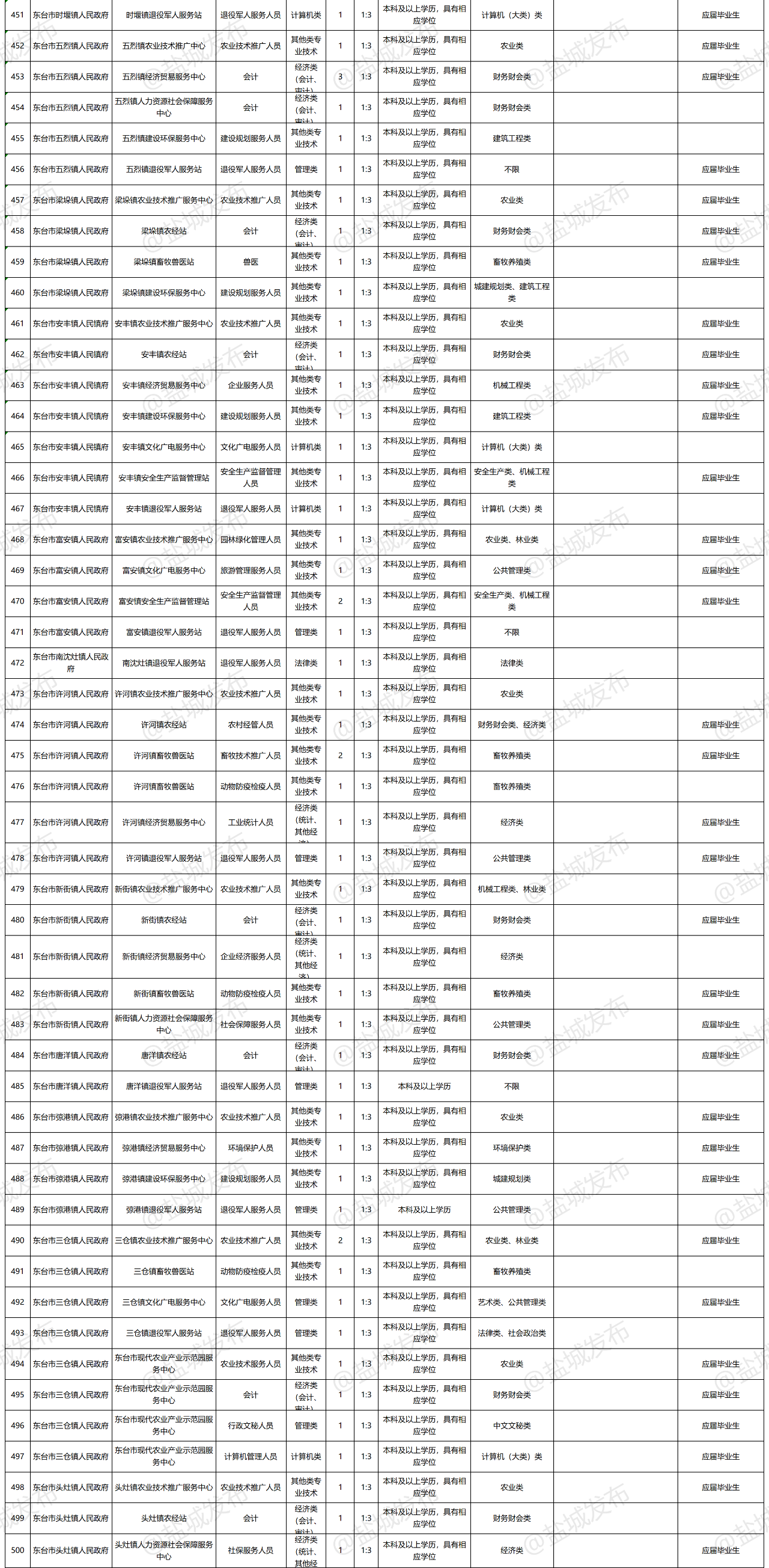
岗位表














报名安排
1/ 报名方式、时间 报名采用网络方式进行。报名、照片上传、资格初审和缴费确认,通过网络同步进行。报名网址:盐城市人力资源和社会保障局门户网站盐城人事考试业务平台(/col/col23512/index.html)。 1.报名、照片上传:5月30日9∶00-6月3日16∶00; 2.资格初审:5月30日9∶00-6月4日16∶00; 3.陈述申辩:5月30日-6月5日期间9∶00-16∶00; 4.对初审异议的处理:5月30日9∶00-6月5日18∶00; 5.缴费确认:5月30日9∶00-6月9日12∶00; 2/ 网上确认 1.应聘人员网上提交报名信息24小时后可到报名网站查询是否通过招聘主管部门(单位)资格初审。如对初审意见有异议,请及时向负责资格审核的招聘主管部门(单位)陈述申辩,联系方式可从招聘岗位表中相应岗位的“政策咨询电话及联系人”栏内获取。 2.通过初审后的应聘人员须使用具有网上支付功能的银行卡,在网上缴纳报名费100元。享受最低生活保障的城镇家庭和农村绝对贫困家庭的应聘人员,先缴费确认,若没有违反考试纪律,在参加考试后,凭相关单位出具的证明于笔试结束后第2-3个工作日到市人事考试中心(盐城市东进中路88号)办理减免考务费手续,统一退还报名费。 3.通过初审并且完成缴费确认的人员,即报名成功。 4.未按时在网上确认报名资格、上传照片、缴纳报名费的视为报名无效。 3/ 准考证打印 通过资格初审和缴费确认的应聘人员须在笔试前3日内登陆报名网站下载、打印准考证。打印中如有问题,请直接与市人事考试中心联系。联系电话:0515-86668515。
招聘办法 1/ 考试办法 副高职称岗位(岗位代码050)和部分研究生岗位(岗位代码077、080、092、097、147、165、166、178、551)共10个招聘岗位为无笔试岗位,考试采取面试的方式进行,其他招聘岗位考试采取笔试和面试相结合的办法进行。 笔试由市公开招聘综合管理部门(市委组织部、市人力资源和社会保障局)统一组织,参加江苏省2020年省属事业单位统一公开招聘人员笔试。市属事业单位面试原则上由市委组织部、市人力资源和社会保障局组织实施,各县(市、区)事业单位面试由所属县(市、区)委组织部、县(市、区)人力资源和社会保障局组织实施。 2/ 统一笔试 1.笔试科目 管理类岗位、通用类专业技术岗位、工勤技能类岗位的笔试科目名称均为《综合知识和能力素质》,但考试内容各不相同。 经济类中会计、审计岗位的笔试试卷相同,统计和其他经济岗位的笔试试卷相同; “其他类”专业技术岗位与管理类岗位的笔试试卷相同。 各招聘岗位的类别见《盐城市2020年事业单位统一公开招聘岗位表》中“岗位类别”。 考试范围见《江苏省2020年省属事业单位统一公开招聘人员公共科目笔试考试大纲》。考试不指定辅导用书。 2.笔试时间和地点 笔试日期:将视新冠肺炎疫情防控情况,按江苏人力资源和社会保障网(jshrss. jiangsu.gov.cn)另行公告的时间,在盐城人力资源和社会保障局网站(http://jsychrss.yancheng.gov.cn/)上公布,请报名成功者予以关注,并按公告明确的时间打印准考证,逾期者责任自负。 管理类岗位考试时间为9:00-11:30; 通用类专业技术岗位考试时间为9:00-11:30; 工勤技能类岗位考试时间为9:00-10:30。 笔试地点:盐城市直,具体地点详见准考证。 3.应聘人员应携带准考证和身份证按照规定的时间到考点参加笔试。按目前疫情防控有关要求,考生应在6月4日前申领“苏康码”,考试当天“苏康码”为绿码且经现场测量体温低于37.3℃,并无干咳等异常症状的,方可进入考点参加考试。 笔试为全程封闭考试,考试期间不得提前交卷、退场。 4.笔试成绩以百分制形式在盐城市人力资源和社会保障局门户网站盐城人事考试业务平台上公布,应聘人员可凭身份证号和准考证号查询。
公告具体内容
及完整岗位表
请扫描下方二维码查看



